Деньги зависли, товар не приехал, работу не сделали, а в ответ тишина или отговорки? В такие моменты хочется сразу идти в суд. Но разумнее начать с досудебной претензии. Она помогает поставить ситуацию в понятные рамки: что случилось, что вы требуете, в какой срок и на каких основаниях.
Расскажем, как написать претензию, приложить доказательства, отправить документ и сколько ждать ответ по закону.
- Что такое досудебная претензия и зачем она вам
- Когда ее направлять обязательно
- Когда можно обойтись без претензии
- Как пишется досудебная претензия
- Что обязательно включить в содержание
- Как выглядит готовый образец претензии
- Что нужно указывать в документе
- Как рассчитать неустойку
- Как передать претензию, чтобы в суде не сказали: «Не получали»
- Как передать лично в руки
- Как отправить заказным письмом с описью
- Когда можно отправить электронной почтой
- Сколько ждать ответа на претензию по закону
- Что делать после получения ответа
- Что делать, если ответ положительный
- Что делать, если ответ отрицательный или его нет вообще
- Заключение
Что такое досудебная претензия и зачем она вам
Досудебная претензия — это письменное требование к другой стороне об оплате долга, возврате денег, выполнении работы, передаче товара. По сути, вы предлагаете урегулировать спор без суда, но уже в официальном виде.
Важно понимать разницу: претензия — это документ:
- который фиксирует, в чем именно нарушение и на каких условиях вы требуете его исправить;
- показывает, что вы пытались решить вопрос мирно;
- помогает соблюсти обязательный досудебный порядок там, где он нужен по закону или договору.
Если досудебная претензия обязательна по закону или по договору, на время ее рассмотрения течение срока исковой давности приостанавливается. Поэтому затягивать с направлением претензии не стоит, особенно когда срок давности уже близко. Отдельно претензия полезна и как доказательство: если в ответе контрагент признает долг или обещает заплатить, срок исковой давности начнет течь заново.
Когда ее направлять обязательно
Обязательный досудебный порядок бывает двух видов:
- по закону;
- по договору.
И в обоих случаях принцип один: если обязательный порядок есть, а вы его пропустили, суд может не перейти к рассмотрению спора, пока вы не пройдете данный этап.
Обязательность по закону.
Арбитражные споры (юрлица и ИП). В арбитражном процессе досудебный порядок нужен, только если его требует закон или сам договор. При этом есть категории, где претензия чаще всего встречается как обязательная именно потому, что так прописано в специальных законах. Например:
- изменение или расторжение договора через суд — сначала направляют предложение изменить или расторгнуть договор, и только потом идут в суд;
- споры в сфере услуг связи — закон о связи прямо строит логику через претензию, и там же указан срок рассмотрения претензии оператором;
- перевозки грузов — во многих видах перевозок действует претензионный порядок, например, по железной дороге претензия перед иском предусмотрена уставом.
Гражданские суды (когда спор не в арбитраже). В гражданском процессе обязательный досудебный порядок возникает только тогда, когда это установлено федеральным законом. И если он обязателен — к иску нужно приложить документы, подтверждающие соблюдение этого порядка.
Административные споры (КАС РФ). В административных делах иногда тоже нужен обязательный досудебный шаг. Если он предусмотрен для вашего спора, а вы его пропустили, суд может вернуть заявление.
Обязательность по договору.
Даже если закон предсудебную претензию не требует, стороны могут сами прописать ее в договоре: как направлять, куда, в какие сроки ждать ответ, какие документы прикладывать.
Прежде чем писать претензию, откройте договор и найдите раздел про претензионный порядок, урегулирование споров, порядок обмена документами.
Когда можно обойтись без претензии
Ситуации, где претензия не требуется, тоже есть. Как правило, это случаи, когда закон устанавливает особый порядок рассмотрения дела или прямо исключает необходимость досудебного этапа.
В арбитражном процессе. АПК РФ называет категории дел, по которым соблюдение досудебного порядка не нужно. Например, это дела:
- об установлении фактов, имеющих юридическое значение;
- о присуждении компенсации за нарушение права на судопроизводство в разумный срок или на исполнение судебного акта в разумный срок;
- некоторые другие, для которых действуют специальные правила.
Отдельно на практике часто вспоминают дела о банкротстве, а также ряд корпоративных споров и приказное производство. Если вы не знаете, что у вас за категория, проще проверить по процессуальному кодексу и разъяснениям Верховного Суда.
Для потребителей. Клиент вправе обратиться в суд и без претензии, но это редко выгодно. Претензия фиксирует дату предъявления требований и запускает сроки их исполнения по закону: если компания не уложится, можно требовать неустойку за просрочку, а отказ решить вопрос добровольно усиливает позицию по штрафу и судебным расходам. Поэтому для потребителя претензия — не формальность, а способ сделать спор дороже для нарушителя.
Как пишется досудебная претензия
Закон не утверждает строгую форму претензионного письма. Многие ищут в интернете, как претензия пишется, потому что боятся ошибиться в формулировках и сроках. Ориентируйтесь на простой принцип: она должна быть похожа на короткую версию будущего иска — с фактами, доказательствами и четкими требованиями, а не с эмоциями.
Что нужно подготовить перед составлением досудебной претензии:
- договор, счет, спецификация, заказ-наряд, заявка — любой документ, из которого видно, что вы договорились;
- подтверждение оплаты или, наоборот, ее отсутствия: платежки, чеки, выписки;
- закрывающие документы: накладные, акты, УПД, акт сверки;
- переписка и уведомления: письма, мессенджеры, претензии, ответы;
- доказательства брака или нарушения: фото, видео, экспертиза, заключение специалиста.
| Стоимость от | 0 ₽ |
| Кешбэк | 1-30% |
| Процент на остаток | До 16% |
| Снятие без процентов | До 500 000 ₽/мес. |
| Овердрафт | Есть |
| Доставка | 1-2 дня |
Что обязательно включить в содержание
Базовая структура претензии подходит и для бизнеса, и для физлиц.
Данные сторон. В шапке документа укажите, кто пишет и кому:
- для организации: полное наименование, ОГРН, ИНН, адрес, контакты;
- для ИП: ФИО, ОГРНИП, ИНН, адрес, контакты;
- для физлица: ФИО, адрес, номер телефона, электронная почта.
Если у ответчика несколько юрлиц в группе или несколько участников сделки, лучше адресовать претензию каждому, кто реально отвечает по обязательствам.
Основание требований. Обычно основание выглядит так:
- «между нами заключен договор поставки №… от …»;
- «на основании счета №… от … вы оплатили/мы оплатили …».
Если письменный договор не заключали, это не означает, что требований нет. Тогда опирайтесь на фактические договоренности и подтверждения: переписку, счета, акты, оплату, передачу результата.
Суть нарушения и доказательства. Пишите кратко, по хронологии:
- что должна была выполнить вторая сторона;
- что она сделала или не сделала;
- в чем конкретно нарушение: срок, качество, объем, оплата.
Дальше — привязка к доказательствам. Каждое важное утверждение должно опираться на документы.
Четкие требования. Здесь должна быть конкретика: что именно вы хотите получить на выходе.
Типовые варианты:
- деньги: оплатить задолженность, вернуть аванс, возместить убытки, уплатить неустойку;
- действие: заменить товар, устранить недостатки, выполнить работы, допоставить недостающее;
- изменение отношений: расторгнуть договор, вернуть товар, принять возврат результата работ.
Требования лучше формулировать точно: сумма, срок, реквизиты, что именно исправить и в каком объеме.
Если вы требуете изменить или расторгнуть договор, помните про отдельную логику ГК: сначала направляется предложение, а в суд идти можно после отказа или если ответа нет в указанный срок. Если срока нет — ориентир 30 дней.
Расчет сумм (если он есть). Если у вас претензия о неисполнении обязательств по договору, не ограничивайтесь фразой «прошу вернуть деньги». В тексте сразу укажите сумму долга, период просрочки и конкретный расчет: по договорной неустойке или по процентам за пользование чужими денежными средствами.
Как быстро посчитать сумму требований:
Проценты по статье 395 ГК РФ, если вам должны деньги по договору.
Проценты по ст. 395 ГК РФ — это плата за пользование вашими деньгами, когда контрагент просрочил оплату или возврат. Формула такая:
Проценты = Сумма долга × Ключевая ставка ЦБ РФ (%) × Дни просрочки ÷ 365 ÷ 100.
Пример:
Долг 120 000 рублей, просрочка 45 дней, ставка 16% годовых.
Проценты = 120 000 × 16 × 45 ÷ 365 ÷ 100 = 2367,12 рубля. Если ставка менялась, расчет делают по периодам.
Неустойка 1% в день для потребителей, когда не исполнили требование.
В потребительских спорах важен срок исполнения требования. Например, деньги по статье 22 Закона о защите прав потребителей должны вернуть в течение 10 дней со дня предъявления требования.
Если срок нарушен, можно начислять неустойку:
Неустойка = Цена товара (работы/услуги) × 1% × Дни просрочки.
С 1 февраля 2026 года действует ограничение: общая сумма неустойки по статье 23 по общему правилу не должна превышать сумму, уплаченную по договору купли-продажи.
Срок для ответа и исполнения. В арбитражных спорах есть частое правило-ориентир: по общему порядку спор можно передавать в суд после того, как прошло 30 календарных дней со дня направления претензии, если закон или договор не устанавливает иной срок.
Но если в вашем договоре стоит, например, 10 или 15 дней на ответ, то ориентируйтесь на договор.
Предупреждение о суде. Подойдет такая формулировка:
«Если требования не будут исполнены в указанный срок, мы обратимся в суд и заявим судебные расходы».
Приложения. В конце нужен список того, что вы прикладываете. Это помогает и адресату, и вам. Потом проще доказать, что пакет был полный.
Обычно прикладывают копии:
- договора, счета, заказа;
- накладных, актов, УПД;
- платежных документов, выписок;
- переписки, уведомлений;
- фото, видео, заключений, экспертиз;
- расчета сумм.
Нотариально заверять претензию и копии документов не нужно. А переписку из электронной почты или мессенджеров иногда дополнительно фиксируют для суда уже отдельно, если ожидается спор по подлинности.
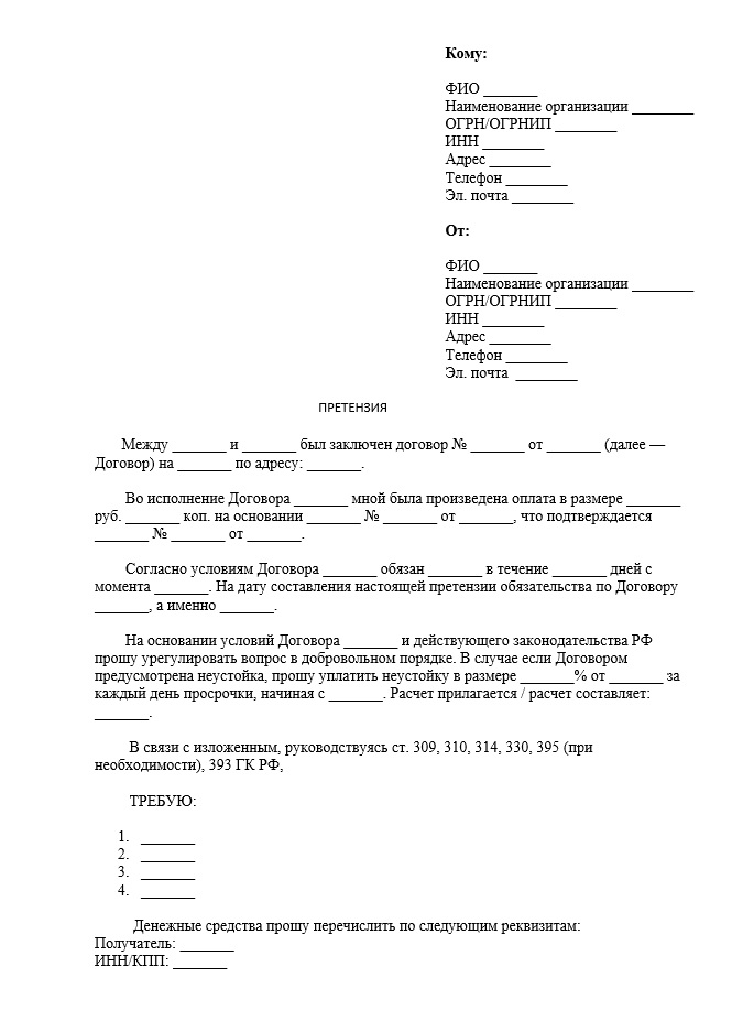
Как выглядит готовый образец претензии
Сам по себе образец претензии не решает задачу, если вы не понимаете, почему там стоят именно такие формулировки и где брать цифры.

Так выглядит шаблон досудебной претензии
Скачайте шаблон досудебной претензии →
Что нужно указывать в документе
Шапка. В претензии указывают данные руководителя, реквизиты, адрес, номер телефона, электронную почту. Суду и контрагенту проще идентифицировать стороны.
Исх. № и дата. Этот блок помогает связать претензию с журналом исходящей корреспонденции и с трек-номером письма, если отправляете почтой.
Абзац о договоре. Если договора нет, можно заменить на счет, заказ или переписку. Но если договор есть, лучше ссылаться на него.
Абзац об оплате. Это один из главных абзацев во всей претензии. Формат из примера удачный: сумма, номер счета, номер платежного поручения, дата оплаты.
Абзац о нарушении срока. В примере он короткий и точный: «не поставил в течение 30 дней… согласно пункту договора». Это правильный стиль. Здесь важно не писать общими словами «сорвали сроки», а указать, какой именно срок и где он указан в договоре.
Абзац с требованиями. В претензии есть сразу два требования. Можно просить не только вернуть, но и добавить за просрочку, если неустойка предусмотрена договором.
Как рассчитать неустойку
Неустойка = Цена товара × (ставка неустойки / 100) × количество дней просрочки.
Пример:
1 000 000 × 0,5% × 10 дней = 50 000 рублей.
Важно: ставка 0,5% в день должна быть прямо прописана в договоре. Если ее нет, этот пункт лучше убрать и требовать только основной долг и проценты или иные суммы по закону, если они подходят под вашу ситуацию.
Фраза «Если не переведет — обращусь в суд». Она должна быть короткой, как в примере.
Как передать претензию, чтобы в суде не сказали: «Не получали»
Подать претензию можно лично, заказным письмом и в некоторых случаях — электронной почтой.
Адрес, по которому нужно отправлять претензию, указан в договоре. Если договора нет или адрес в нем сомнительный, для компании безопаснее ориентироваться на юридический адрес из ЕГРЮЛ, а для ИП — на адрес из ЕГРИП.
Как передать лично в руки
Передать претензию лично в руки можно, если у контрагента есть офис и вы можете туда попасть.
Как сделать правильно:
- Распечатайте претензию в двух экземплярах. Один вы отдаете, второй оставляете себе.
- Попросите поставить отметку о получении на вашем экземпляре.
- Уточните, кто имеет право принимать документы. Идеальный вариант — руководитель, секретарь, канцелярия или сотрудник, который официально принимает корреспонденцию.
- Если полномочия не подтверждают, не спорьте на месте. Лучше спокойно уйти и отправить претензию почтой. Личная передача хороша, когда вы уверены, что отметку поставит тот, кто вправе это делать.
Сохраните ваш экземпляр документа с отметкой о получении. Если есть возможность, сделайте фото страницы с отметкой сразу на месте.
Как отправить заказным письмом с описью
Отправляя претензию, обязательно оформите опись вложения и закажите уведомление о вручении. Это ваши главные козыри в суде.
Пошаговый алгоритм отправки претензии заказным письмом с описью:
- Подготовьте комплект документов.
- Сделайте опись вложения. Как заполнить опись: в графе «Наименование предметов» пишем: «Претензия о возврате денег по договору №45 от 01.02.2026 — 2 листа». Этого достаточно, суд поймет. Опись оформляют в двух экземплярах. Один уйдет вместе с письмом, второй останется у вас. На вашем экземпляре сотрудник почты ставит отметку.
- Отправьте письмо как заказное или ценное с уведомлением. На практике часто выбирают ценное письмо именно из-за описи. Но обычно нужен вид отправления, где почта фиксирует отправку и выдает квитанцию.
- Сохраните все подтверждения. У вас должны остаться квитанция об отправке с трек-номером, опись вложения с отметкой почты и уведомление о вручении.
Проверьте по трек-номеру, что письмо дошло. Скриншот статусов тоже можно сохранить, как дополнительное подтверждение.
Когда можно отправить электронной почтой
Электронная почта удобна, но с ней больше рисков. Суд может не принять претензию, отправленную по электронной почте, если вы не докажете, что стороны договаривались об официальном электронном обмене.
Когда электронная почта подходит:
- в договоре прямо указано, что претензии можно направлять по электронной почте, и прописаны конкретные адреса;
- стороны регулярно обменивались юридически значимыми документами по электронной почте, и это можно подтвердить перепиской.
Как снизить риск, если все же отправляете по электронной почте:
- отправляйте письмо с темой вроде «Досудебная претензия по договору №…», чтобы его проще было идентифицировать;
- прикладывайте претензию и приложения одним PDF, а не набором файлов;
- включайте запрос уведомления о прочтении и доставке;
- сохраняйте исходящее письмо целиком: адрес, дата, время, вложения;
- по возможности дублируйте претензию заказным письмом с описью.
Можно отправить досудебную претензию заказным письмом и продублировать по электронной почте. Тогда контрагенту сложнее будет доказать, что он ничего не знал, а у вас остается полный набор доказательств для суда.
Если в договоре электронная почта не указана, но вы раньше регулярно вели переписку по электронной почте именно по этому договору, это можно использовать как аргумент. Стороне трудно отказаться от способа общения, которым она сама пользовалась, когда ей было удобно. Суды называют это запретом противоречивого поведения (эстоппель). Но это все равно спорная зона, поэтому электронную почту лучше рассматривать как дополнительный канал и обязательно дублировать претензию заказным письмом с описью.
| Стоимость от | 0 ₽ |
| Кешбэк | До 70% |
| Процент на остаток | Нет |
| Снятие без процентов | До 5 млн р./мес. |
| Овердрафт | Нет |
| Доставка | В офис/курьером |
Сколько ждать ответа на претензию по закону
Срок ожидания зависит от трех параметров:
- что написано в договоре;
- что говорит специальный закон по вашей сфере;
- куда вы пойдете дальше: в арбитраж или в суд общей юрисдикции.
Закон может устанавливать не срок ответа на претензию, а срок, за который обязаны выполнить требование. В потребительских спорах это типичная ситуация: компания может вообще не отвечать, но если не исполнила требование в срок — у вас появляется право на неустойку и обращение в суд.
| Категория спора | Срок ожидания по закону | Норма | Что значит молчание |
| Споры между юрлицами, ИП (общее правило для подачи иска в арбитраж) | 30 календарных дней со дня направления претензии, если иной срок не установлен законом или договором | Часть 5 статьи 4 АПК РФ | По истечении 30 дней претензионный этап считается пройденным: можно подавать иск |
| Требования потребителя по деньгам при недостатках товара | 10 дней на удовлетворение требования со дня предъявления | Статья 22 Закона РФ №2300-1 | Можно заявлять неустойку за просрочку: 1% цены товара за каждый день задержки. |
| Споры с перевозчиком | 30 дней со дня получения претензии перевозчиком, фрахтовщиком | Пункт 1 статьи 40 Устава автотранспорта и городского наземного электрического транспорта | Основание идти в суд: срок ответа истек, требования не удовлетворены |
| Иной срок по договору | Как указано в договоре | Условия договора, если иной срок установлен законом или договором в части 5 статьи 4 АПК РФ | Следуйте договору. Если его условия нарушены, считаете претензионный этап пройденным и действуете дальше |
Учтите, что с 1 февраля 2026 года действует ограничение: общая сумма неустойки не может превышать сумму, уплаченную по договору купли-продажи.
Что делать после получения ответа
После того как вы отправили претензию и дождались реакции, начинается следующий этап.
Вариантов развития ситуации четыре:
- согласились и исполнили;
- согласились частично и предлагают условия;
- отказали;
- не ответили.
Разберем, что делать в каждом случае.
Что делать, если ответ положительный
Положительный ответ — это не конец разбирательств. Финал наступает, когда требования реально исполнили: деньги пришли, товар заменили, недостатки устранили, договор расторгли и возврат оформили.
Что сделать, чтобы закрыть спор:
- Проверьте исполнение по факту, а не по обещаниям. Если обещали оплату — смотрите поступление на счет. Если обещали исправить работу — принимайте результат по акту.
- Зафиксируйте, что обязательство исполнено. Форма зависит от ситуации: расписка о получении денег, акт выполненных работ или устранения недостатков, допсоглашение о расторжении и возврате денег, акт сверки или письмо о погашении задолженности.
- Если спор касается денег — закройте вопрос документально. Когда сумма пришла, полезно коротко подтвердить, что претензия удовлетворена и конфликт исчерпан.
Что делать, если ответ отрицательный или его нет вообще
Отсутствие ответа или прямой отказ обычно означает одно — досудебный этап вы прошли. Теперь можно переходить к следующему этапу:
- Зафиксируйте, что досудебный порядок соблюден. Суду важны доказательства.
- Проверьте, обязателен ли досудебный порядок по закону или по договору. Если он обязателен, на время его соблюдения срок исковой давности приостанавливается. Если он не обязателен, направление претензии само по себе срок исковой давности не приостанавливает, поэтому при риске пропуска срока лучше не тянуть и параллельно готовить иск.
- Следующий шаг — готовить исковое заявление. Если ваши требования окончательные, а ответа нет или вам отказали, вы определяете суд и подсудность, готовите иск, прикладываете доказательства и подтверждение претензионного порядка, оплачиваете госпошлину и подаете документы. Если ответчик прислал встречные требования или вообще спорит с самим фактом сделки, без суда уже не разобраться.
- Для потребителей: помните о штрафе в 50%. Если спор потребительский и компания не удовлетворила требования добровольно, в суде можно заявлять штраф 50% от суммы, присужденной в пользу потребителя. Это отдельная санкция за отказ решать вопрос мирно.
Заключение
Грамотная досудебная претензия — это не формальность, а рабочий инструмент.
Что она дает на практике:
- экономит время — иногда спор закрывается без суда, потому что вторая сторона понимает, что вы действуете по правилам;
- фиксирует позицию — вы заранее формулируете факты, требования, суммы и сроки, потом это проще перенести в иск, если придется;
- помогает пройти обязательный досудебный порядок — там, где без претензии иск могут не принять или оставят без рассмотрения.
Чек-лист проверки перед подачей досудебной претензии:
- Проверьте, нужен ли претензионный порядок по закону или договору.
- Соберите доказательства и приложите копии.
- Пишите конкретно: факты, нарушения, требования, суммы, срок.
- Отправляйте так, чтобы остались подтверждения: отметка о получении или заказное письмо с описью.
- Дождитесь истечения срока ответа и действуйте дальше по ситуации.
Если сомневаетесь в расчетах или ситуация сложная, лучше не гадать, а внимательно изучить свой договор.




Комментарии: 0
Написать комментарий